|스마트투데이=김세형 기자| 미래에셋증권과 메리츠증권, 그리고 아이엠증권이 지난해 각각 100명 이상씩 인력이 줄어든 것으로 나타났다.
이에 따른 명예퇴직금 지급으로 미래에셋증권의 인건비는 1년새 1248억원(21.9%) 증가했고, 아이엠증권(구 하이투자증권)은 명예퇴직금으로 250억원 이상(퇴직급여 58억 ·명예퇴직급여 193억원)을 지급했다.
메리츠증권의 명퇴금 지출액은 45억원에 그쳐 1인당 5000만원 미만인 것으로 나타났다. 지난해 이 증권사 직원 평균 연봉이 1억6천만원으로 업권내에서 가장 높고, 평소 성과중심의 임금 체계로 상대적으로 타증권사에 비해 고용과 해고 유연성이 높은 선진형 인사제도를 정착시킨 영향으로 보인다.
4일 금융감독원과 금융투자협회 전자공시시스템에 따르면 작년말 38개 국내 증권사들의 계약직을 포함한 전체직원수는 3만7551명으로 집계됐다. 지난 2022년말 국내증권사 총인력이 3만8273명에 비해 722명이 감소했다. 지난 1년간 감소한 직원수는 157명으로 집계됐다.
(* 아래 첨부파일 선택시 파일 원본을 확인할 수 있음)
미래에셋증권(122명), 메리츠증권(128명), 아이엠증권(137명)이 감소한 반면, 우리투자증권의 인원수는 375명 증가했다. 우리금융그룹 계열증권사인 우리투자증권의 전신은 우리종합금융(주). 지난해 8월1일 한국포스증권과 우리종합금융이 합병해 우리투자증권이 출범했다. 이들 3개 증권사 이탈은행의 상당수가 우리투자증권으로 옮겨가면서 감소폭이 상대적으로 적었다.
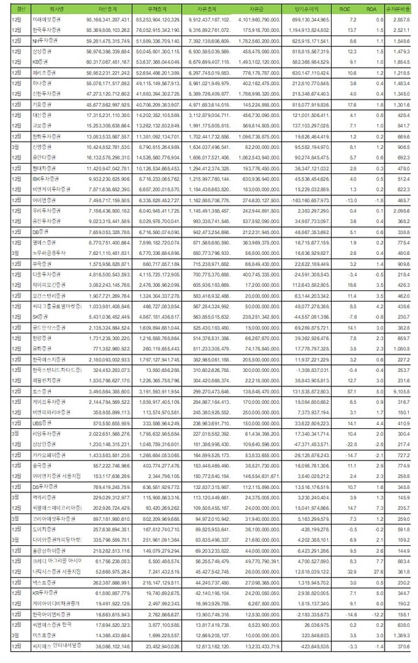
한편, 지난해 증권사 순위(자본총계 기준)에서 미래에셋증권은 총자본 9조9124억원으로 2위 한국투자증권(9조3169억원)을 제치고 1위 자리를 지켜냈다. NH투자증권(7조3921억원), 삼성증권(6조9306억원), KB증권(6조6797억원), 메리츠증권(6조2977억원) 등으로 3∼6위를 기록했다. 뒤이어 하나증권, 신한투자증권, 키움증권, 대신증권이 10위권에 이름을 올렸다.
(* 아래 첨부파일 선택시 파일 원본을 확인할 수 있음)

댓글 (0)
댓글 작성
댓글을 작성하려면 로그인이 필요합니다.
로그인하기